Vol7 No.3
KSIC Newsletter
Published by Korean Society of Interventional Cardiology

JULY 2021
Research Highlights #1

관상동맥 중재시술 전 혈관 내
초음파의 딥러닝 분석이
불충분한 스텐트 확장을
예측하였다.

Prediction of Coronary Stent Underexpansion by Pre-Procedural Intravascular Ultrasound–Based Deep Learning.
Min HS, Ryu D, Kang SJ et al., J Am Coll Cardiol Intv 2021;14:1021–9

강도윤 | 울산의대 서울아산병원
혈관 내 초음파 (Intravascular ultrasound, IVUS)는 관상동맥 병변의 특성, 혈관 크기 및 최적의 스텐트 배치에 대한 정보를 제공함으로써 관상동맥 중재시술 (Percutaneous coronary interv ention, PCI)을 최적화하는 유용한 도구이다. 혈관 내 초음파 상의 불충분한 스텐트 확장 (Underexpansion) 은 스텐트 내 혈전 및 재협착의 중요한 가장 중요한 예측 인자로 알려져 있으며, 일반적으로 스텐트 내강 면적 5.0~5.5 mm2 미만일 경우 불충분한 스텐트 확장으로 정의하고 있다. 여러 연구를 통해 관상동맥 중재시술 중 IVUS 사용이 심혈관 합병증을 감소시킬 수 있음이 입증되었지만, 여전히 IVUS의 광범위한 사용에는 한계가 있다. 단일 프레임에서 측정한 최소 스텐트 내경 (IVUS-measured minimal stent area, IVUS-MSA) 은 전체 혈관의 상태를 반영하는 데 한계가 있으며, IVUS-MSA 등 스텐트 삽입 후 측정한 값들은 시술을 계획하는 데에는 큰 도움이 되지 않는다. 또한 시술 후 스텐트 면적 및 합병증 발생을 예측하는 IVUS 소견도 표준화된 권고안이 없어 전문가들마다 의견이 다른 것이 현재의 상황이다.

최근 딥러닝 분야에서 개발된 Convolutional Neural Networks (CNNs)는 오차역전파 (back-propagation) 기법을 통해 공간 계층 구조를 자동적 (automatically) 및 적응적 (adaptively)으로 확인하는 분석법이다. 이런 데이터 기반 분석을 의료 영상에 적용할 경우 우수한 성능을 가진 예측 모델을 개발할 수 있다. 본 연구진은 관상 동맥의 스텐트 삽입 전후 IVUS 영상 데이터셋에 딥러닝 기법을 적용하여, 시술 전 IVUS 로 시술 후 스텐트 확장 정도를 예측하는 모델을 개발하고자 하였다.

본 연구는 2012년 2월부터 2015년 12월까지 서울아산병원에서 Xience 스텐트를 이용하여 단일 혈관 PCI를 시행한 환자들 중 618명의 618개 관상동맥을 분석하였다. 좌주간부 병변, 만성폐색병변(CTO), 스텐트재협착(In-stent restenosis), ST 분절상승 급성심근경색 (STEMI), 우회로수술혈관, IVUS 평가 전 풍선확장술을 시행한 경우 등은 분석에서 제외되었다.
618개 혈관에서 얻은 34,736프레임의 IVUS 영상을 시술 전후로 매치하였고(co-registration), 5:1의 비율로 training set 및 test set으로 무작위 배정하였다 (Training sample: 515명 28,952 프레임, Test sample: 103명 5,784 프레임). 시술 전 IVUS 영상의 혈관 내경 (lumen), 외경 (External elastic mem brane, EEM) 및 죽상경화반을 segmentation 하여 표기하였고 (마스크 영상), 시술 후 IVUS에서 스텐트 내경을 측정하였다. 2D-planimetry 로 측정한 Absolute stent area가 5.5 mm2 미만일 경우 불충분한 스텐트 확장으로 정의하였다. 원본 IVUS 이미지와 마스크 영상, 시술관련 정보(스텐트 길이, 직경, 압력, 풍선의 직경 및 최대 압력)를 CNNs에 적용하여 시술 후 스텐트 내경을 예측하는 회귀 모델을 개발하고, CNNs를 통해 도출된 특성(CNN-derived features)과 마스크 이미지에서 파생된 특징(mask image-derived features)을 사용하여 불충분한 스텐트 확장이 발생하는 프레임 여부를 구분하는 binary classi fication 모델(XGBoost)을 개발하였다.

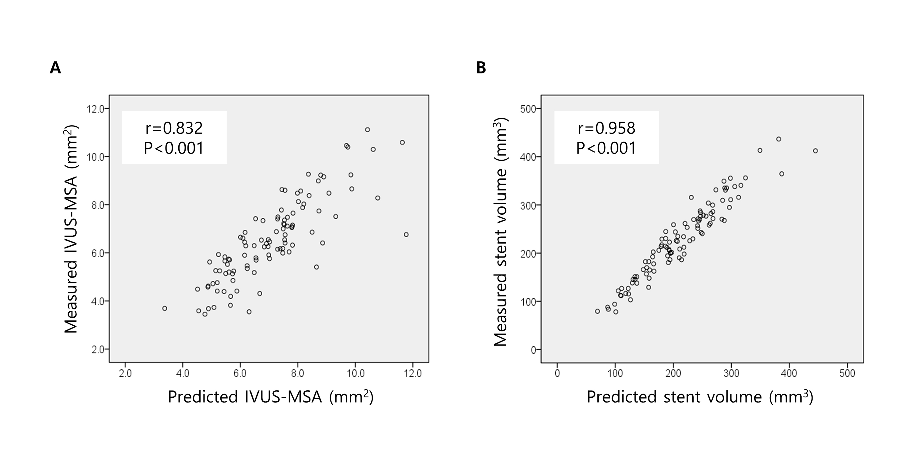
총 34,736개의 프레임 중 5,209개의 프레임에서 (15%) 스텐트의 불충분한 확장을 보였다. 프레임 레벨에서, 스텐트의 크기 예측 모델과 스텐트 삽입 후 IVUS 상에서 직접 측정한 결과를 비교하였을 때 유의미한 상관관계를 보였으며 (r=0.802, p<0.001) 테스트 샘플에서 최대 94%의 정확도(accuracy)를 보였다. 병변 레벨에서, 예측 모델은 IVUS-MSA (r=0.832, p <0.001)와 총 스텐트 볼륨(r=0.958, p<0.001)과 둘 다 유의미한 상관관계를 보였다.

이처럼 딥러닝 기반 알고리즘은 시술 전 IVUS 영상을 기반으로 불충분한 스텐트 확장을 프레임레벨에서 94%의 정확도로 예측할 수 있었고 (AUC = 0.94), 병변 레벨에서도 IVUS-MSA 와 스텐트 볼륨도 정확히 예측할 수 있었다. 이처럼 불충분한 스텐트 확장에 대한 잠재적 위험을 평가함으로써, 스텐트 삽입 전 적절한 전처치 및 최적의 풍선/스텐트의 크기 및 팽창압력을 제안할 수 있을 것이며, 불충분한 스텐트 확장을 최소화하여 재발을 예방하는데 기여할 것으로 기대된다.
a1_1.jpg

[그림 1] Central Illustration

a1_2.jpg

[그림 2] Performance of the regression Model at the Lesion Level